Western Chemical Industries (P) Limited, a Research Based Company has its chemical plants situated in the Industrial Town of Dombivali, near Bombay (Mumbai), State of Maharashtra, India. The company has three manufacturing Units, consisting of two Divisions viz, Pigments and Organic Chemicals.
Pigment Violet – 27
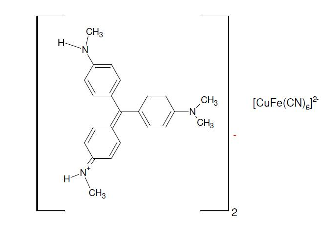
Pigment Violet - 27
A: SPECIFICATON:
| Product Name: | Pigment Violet - 27 |
| Appearance | Violet Color Powder |
| Chemical Type | Tri-aryl Carbonium |
| C.I. No | 42535 : 3 |
| CAS No | 12237 - 62 - 6 |
| Einecs No | 235-468-7 |
| Chemical Formula | C24H27N3 • Cu Ferrocyanide |
| Molecular Weight | 357.49 |
B. CHEMICAL NAME :
Ferrate(4-), hexakis(cyano-C)-, methylated 4-[(4-aminophenyl)(4-imino-2,5-cyclohexadien-1-ylidene)methyl]benzenamine copper(2+)salts
C. STRUCTURE :
D. APPLICATIONS
PV-27 is Copper Ferro Cyanide complex of Basic Violet – 1 (Methyl Violet). This is tinctorially stong and provides bluish, clean violet shade. However. this pigment Stability is somewhat lower polar solvents, such as alcohols, ketones, and ethylene glycol. Moreover, it tends to decompose if exposed to alkali.
INKS :
- Water Base PV-27 Inks – used for Gravure Printing Inks and Water based Flexographic Inks and. Offset Inks.
- NC Inks : Insufficient fastness properties preclude P.V.27 from being used in packaging gravure and flexographic printing inks based on NC, though the pigment is used in aqueous flexographic inks.
Hydrocaron Based Inks: As P.V.27 is quite fast to aliphatic and aromatic Hydrocarbons, PV-27 in these mediums are especially used to used to tone Hydrocarbon black oil inks
PV-27 is Copper ferrocyanide complex acid oil-based systems, is used for letterpress or offset printing inks
E. PROPERTIES
| Physical Data | Volatiles % (max) …… 1.0 Specific Gravity.............. 1.60 Bulk Density ……. 0.45 - 0.48 Oil Absorption (g./100g.)... 40-45 μ Specific Surface Area 28 m2/g pH ≈ 5 to 6 Electric Conductivity(μs/cm) ≤ 600 |
| Stability | Heat ................... 5 Heat Stability 180 oC Alkali ................. 4 Acid ................. 5 Light fastness (Full) ..... 6 (Tint) ..... 6 |
| Bleed Resistance Data | Water,......................... 4 Alcohol.(IPA)..................... 5 Esters ……………………… 5 MEK. ......,....,.,.........,.. 5 Mineral Turpentine 4-5 Xylol .......................... 5 Soap Water .............. . .... 5 |
Test Scale: (5) – Excellent, (4) Very Good. (3) – Good. (2) – Fair, (1) – Poor
** Blue Wool Scale : (8) – Excellent, (l) – Poor, (D) – Darkens
All data given herein is based on tests believed to be reliable and given for guidance only, without guarantee.
We can not accept responsibility for operations not under our direct control and suggest before going into production, that you make your own tests, suitable to your particular application.
F. PV-27 Color Print Sample
Carbazole Violet - The Master Pigment
Carbazole is used in varied industries in various forms – crude pigment, press cake, dry powder & dispersion. This pigment, in its varying forms & stages, is our prime offering and supports many producers and their processes globally. Western believes in delivering customised solutions to our customers worldwide & also undertake R&D to specifically match customers unique needs.
With decades of experience in colour chemistry and a focus on continued up-gradation of processes, our premium Pigment Carbazole Violet-23, with all its derived grades & shades, is recognised & used by various industries across the world.
Industries that use Carbazole Violet-23
- Ink
- Paints, Automotive Paints & Coatings
- Plastics
- Paper
- Textiles
- Decorative Paper
Whether it’s Inks or Paints, Coatings or Textiles, Plastics or Tissue Paper, our clients are our partners & Western believes in partnering in their production process.
Collaborate with Western & we’ll make sure you’ll get the right grade and shade. Whether it’s the transparency, viscosity, colour strength or shade, we have total control of the Pigments’ outcome & can incorporate your requirements.
And if your application or medium is unique & requires some adaptations, we are confident that we can help you develop & manufacture the appropriate grade that suits your needs.
CARBAZOLE VIOLET-23 : Technical Data Sheet
Grades & Applications
Different forms available
Structure :

Test Scale :
(5) Excellent(4) Very Good(3) Good(2) Fair(1) Poorb
** Blue Wool Scale :
(8) Excellent(I) Poor(D) Darkens
| Physical Data | Specific Gravity | 1.35 - 1.50 |
|---|---|---|
| Bulk Density (Kg/Lit) | 0.6 | |
| Oil Absorption (g./100g.) | 30 - 50 | |
| Stability | Heat | 5 |
| Alkali | 5 | |
| Acid | 5 | |
| Light fastness*" (Full) | 8 | |
| (Tint) | 7 | |
| Bleed Resistance Data | Water | 5 |
| Alcohol.(IPA) | 5 | |
| MEK | 5 | |
| Mineral Turpentine | 4 | |
| Xylol | 4 | |
| Linseed Oil | 4 | |
| Soap Water | 5 |
Note : All data given herein is based on tests believed to be reliable and given for guidance only, without guarantee. We cannot accept responsibility for operations not under our direct control and suggest before consuming in production, you make your own tests, suitable to your specific applications.
Different Grades for various Applications :
CARBAZOLE VIOLET - Pigment Violet-23.
Solvent & Water Based Inks :
| Sr. No | Grade Code | Tones Available | APPLICATION: Water based Inks : |
|---|---|---|---|
| 1 | Violet-1101 | Bluish-Red | Waterbased Acrylic Inks. Offset, Gravure & Flexo. |
| 2 | Violet-1101 | Bluish | |
| 3 | Violet-1101 | Reddish |
Solvent Inks :
| Sr. No | Grade Code | Tones Available | APPLICATION: Water based Inks : |
|---|---|---|---|
| 4 | Violet-1102 | Bluish-Red | Solvent Inks – General. |
| 5 | Violet-1103 | Bluish-Red | NC, Low Viscosity. |
| 6 | Violet-1104 | Bluish-Red | PU, Low Viscosity. |
| 7 | Violet-1105 | Bluish | Polyamide. |
| 8 | Violet-1106 | Bluish & Reddish | Vinyl Inks. |
| 9. a) b) | Violet-1107 Violet-1107 [SPL] | Bluish Reddish | NC/PU/PA, Low Viscosity. NC/PU/PA/Vinyl/CPP. Combined Low Viscosity. |
| 10 | Violet-1108 | Bluish- Red | Flexo, UV. |
| 11 | Violet-1109 | Bluish | Offset, Sheetfed, UV. |
| 12 | Violet-1110 | Bluish | PVB, Metal Deco & PVC Inks. |
| 13 | Violet-1110 | Bluish- Red |
Paints & Coatings :
| Sr. No | Grade Code | Tones Available | APPLICATION: Water based Inks : |
|---|---|---|---|
| 14 | Violet-1111 | Bluish | Automotive & Decorative Paints. |
| 15 | Violet-1111 | Reddish | |
| 16 | Violet-1111 | Reddish++ | |
| 17 | Violet-1112 | Reddish | Decorative Oil & Water based Paints. |
| 18 | Violet-1112 | Bluish-Red | |
| 19 | Violet-1113 | Reddish++ | |
| 20 | Violet-1114 | Reddish | Industrial Paints & Coatings. |
Plastics :
| Sr. No | Grade Code | Tones Available | APPLICATION: Water based Inks : |
|---|---|---|---|
| 21 | Violet-1115 [S]B | Bluish | LDPE/HDPE/PE/PP/PVC & Masterbatch. |
| 22 | Violet-1115 [S]R | Reddish |
Paper & Textiles:
| Sr. No | Grade Code | Tones Available | APPLICATION: Water based Inks : |
|---|---|---|---|
| 23 | Violet-1116 | Reddish | Textile Dispersions. |
| 24 | Violet-1116 | Bluish-Red | |
| 25 | Violet-1117 | Bluish-Red | Plastics, Textiles & Paper. |
DIOXAZINE VIOLET - Pigment Violet-37.
| Sr. No | Grade Code | Tones Available | APPLICATION: Water based Inks : |
|---|---|---|---|
| 1 | Violet-1201 | Bluish-Red | Offset & Packaging Inks; NC, Low Viscosity Inks. |
• Available as:
POWDER, PRESS CAKE & DISPERSION.

| Commodity | Form | Purity |
|---|---|---|
| Pigment | Powder | Min 98% |
| Crude | Powder | Min 98% |
| Pigment Press Cake | Wet Cake | 40-45% (Solids) |
| Pigment Dispersion | Dispersion | 10-40% |
Note : All data given herein is based on tests believed to be reliable & submitted for guidance only, without Guarantee. We cannot accept responsibility for operations not under Western’s direct control & suggest before going into production, that you make your own tests, suitable to your particular application.
Pigment Violet - 23
- Pigment Type: Carbazole Based
- Color Index Name: Pigment Violet 23
- Color Index No.: 51319
- CAS No: 6358 - 30 - 1 (215247 - 95 - 3)
- Einecs No.: 228 - 767 - 9
- General Properties: High Performance Organic Pigments with Exceptional Color Intensity And Tinting Strength. Excellent Light Fastness.
Pigment Violet - 27
- Pigment Type : Tri-aryl Carbonium
- Color Index Name : Pigment Violet-27
- Color Index No. : 42535:3
- CAS No.: 12237-62-6
- Einecs No. : 239-898-6
- Description: Dis-azo Pigment with a clean yellowish orange color. transparent. high tinting strength, with excellent rheological and fairly good fastness properties.
- Application: Solvent Inks (NC,PU). Packaging Inks, Textile Printing and Plastics
Pigment Violet - 32
- Commercial Name: Pigment Violet - 32
- Pigment Type: Benzimidazolone
- Color Index Name: Pigment Violet-32
- Color Index No.: 12517
- CAS No.: 12225-08-0
- Einecs No.: 235-426-8
- Description: Pigment Violet - 32 is a bluish red shade benzimidazolone pigment. It exhibits excellent fastness to many organic solvents, and good heat resistant.
- Application: It is used in Paints and Plastics. Also used for paste inks and for solvent and water based packaging gravure and flexographic printing inks.
Pigment Violet - 37
- Pigment Type: Dioxazine
- Color Index Name: Pigment Violet-37
- Color Index No.: 51345
- CAS No.: 17741-63-8
- Einecs No.: 241-734-3
- Description: High Performance Pigment with exceptional reddish violet color intensity and tinting strength.
- Application: Inks (PVC printing and Packaging), Offset inks, UV inks and Plastics
Pigment Blue - 80
- Pigment Type: Benzimidazolone Dioxazine
- Color Index Name: Pigment Blue – 80
- CAS No.: 244303-78-4
- Einecs No.: 609-615-4
- Description: This is a High Performance pigment with a high intrinsic color value with a Reddish Blue hue, highly transparent, outstanding solvent & weather fastness and high heat stability.
- Application: Automotive OEM and refinish Paints, Coil coatings, Printing Inks,Plastics and Rubber.
Pigment Yellow - 155
- Pigment Type: Disazo-Bisacetoacetarylide
- Color Index Name: Pigment Yellow-155
- Color Index No.: 200310
- CAS No.: 68516-73-4: 77465-46-4
- Einecs No.: 271-176-6
- Description: Dis-azo pigment with a clean greenish yellow tinge, high tinting strength, good solvent resistance, with fastness to alkali and acid.
- Application: Paints (enamel and alkyd melamine systems), Plastics and Printing Inks.
Pigment Orange - 34
- Pigment Type: Disazo
- Color Index Name: Pigment Orange-34
- Color Index No.: 21115
- CAS No.: 15793-73-4
- Einecs No.: 239-898-6
- Description: Dis-azo Pigment with a clean yellowish orange color. transparent. high tinting strength, with excellent rheological and fairly good fastness properties.
- Application: Solvent Inks (NC,PU). Packaging Inks, Textile Printing and Plastics.
Pigment Red - 169
- Pigment Type: Xanthene
- Color Index Name: Pigment Red – 169
- Color Index No.: 45160:2
- CAS No.: 12237-63-7
- Einecs No.: 235-469-2
- Description: This is a Copper Ferro Cyanide Complex. This pigment provides a tinctorially strong purplish red shade. Has moderate to good Fastness properties.
- Application: Mainly used for Gravure and Aqueous Fexographic printing Inks.